この記事は現在、プロジェクトメンバーによる査読中のものです。草稿段階ですので、内容・表現の正確さについて責任を負いかねます。 リンクを正しく張れていないところが存在しますのでご注意ください。 正式公開まで、いましばらくお待ちください。
グリーン関数を理解しよう(電子とフォノンのグリーン関数)

これからいくつかの記事を通して, 物性物理で扱われる絶対零度におけるグリーン関数の理解を目指します. いくつかの定理などの証明は省略して,要点の俯瞰をする方針で行きます. 参考文献として,下に書くMahan先生の本を挙げて おきます.このシリーズでは \hbar=1 とします. 前の記事は 相関関数の計算 です. 次の記事は ウィックの定理 です.( 目次 )

相互作用をしないグリーン関数

これからいくつかの種類のグリーン関数が出てきます. それらは,電子,フォノン,フォトンです. このうち,フォトンは複雑なのでこのシリーズの最後の記事で扱う予定です. まずは,フェルミオンである電子と ボゾンであるフォノンのグリーン関数を考えます.

さて, 前回 の続きを考えましょう.それは

G(\lambda,t-t^\prime) &= -i \dfrac{_0 \langle | T \hat{C}_\lambda(t) \hat{C}^\dagger_\lambda(t^\prime) S(\infty,-\infty) | \rangle_0}{_0 \langle |T  S(\infty,-\infty) | \rangle_0} \tag{1}

が結論でした.ここで相互作用をしない時を考えます. つまり, V=0 の時です.

この時,

S(t,t^\prime) = T \exp \left[ -i\int_{t^\prime}^t dt_1 \hat{V}(t_1) \right]\tag{2}

でしたから, \hat{V}(t) = e^{i H_0 t} V e^{-i H_0 t} = 0 となります. ( VH の摂動部分 V=H-H_0\hat{V}(t) は相互作用表示において時間依存する演算子でした)

S(\infty,-\infty) = 1\tag{3}

となります.

よって,相互作用をしない時のグリーン関数を G^{(0)}(\lambda,t-t^\prime) とすると,

G^{(0)}(\lambda,t-t^\prime) &= -i \ _0 \langle | T \hat{C}_\lambda(t) \hat{C}^\dagger_\lambda(t^\prime) | \rangle_0\tag{4}

と書けます.そんなものを知って何が嬉しいの?と思うかもしれません. なんと,相互作用のある場合のグリーン関数も,それらを素材として 厳密に表現できるのです.

ここで用語について触れておきましょう.

「相互作用をしない」は「自由な」とか「非摂動」と呼ばれます.

「グリーン関数」も「プロパゲータ」とか「レゾルベント」などと呼ばれます.

つまり,「非摂動グリーン関数」とか「自由なプロパゲータ」と呼ぶわけです.

電子とフォノンの自由なグリーン関数(空のバンド)

この場合,穏やかな真空の背景の中にただ一つの電子がある状態です. 基底状態を穏やかな真空とし | 0 \rangle とします. ここに電子やフォノンは存在しないという意味で,「穏やかな」と言いました.

この時,状態を指定する運動量(スピンは省略) \bm{p} を使って, 電子の消滅演算子を C_{\bm{p}} ,フォノンの消滅演算子 a_{\bm{p}} を使って,

C_{\bm{p}} | 0 \rangle = 0 \\a_{\bm{p}} | 0 \rangle = 0 \tag{5}

が成立します.ここでフェルミオンとボゾンの違いは,生成消滅演算子の交換関係,ひいては, グリーン関数の第二項の符号に関わってきますが,この空バンドの場合は式 (5) が成立して,同じ手順で扱えます. それを G で表すとします.

ここで, H=H_0 ですから,ゲルマン・ロウの定理は,

S(0,-\infty) | \rangle_0 = | \rangle\tag{6}

でした.これは,消滅演算子を右端に含む H_0,V のどちらをかけても |0 \rangle はゼロを返し, 時間発展しない( e^{-iHt} = e^{0} = 1 で表される)ことから,

S(0,-\infty) | 0 \rangle = | 0 \rangle\tag{7}

と書けます. | \rangle = | \rangle_0 = | 0 \rangle なんですね. (一応確認しておくと,順に H の基底状態, H_0 の基底状態,この節の基底状態です.)

すると,

G(\lambda,t-t^\prime) &= G^{(0)}(\lambda,t-t^\prime) \\&= -i \Theta(t-t^\prime) \langle 0 |\hat{C}_\lambda(t) \hat{C}^\dagger_\lambda(t^\prime)| 0 \rangle \\&= -i \Theta(t-t^\prime) \langle 0 | e^{i H_0 t} \hat{C}_\lambda e^{-i H_0 (t-t^\prime)} \hat{C}^\dagger_\lambda e^{-i H_0 t^\prime} | 0 \rangle \\&= -i \Theta(t-t^\prime) \langle 0 | e^{i H_0 t} \hat{C}_\lambda e^{-i H_0 (t-t^\prime)} \hat{C}^\dagger_\lambda e^{-i \varepsilon_0 t^\prime} | 0 \rangle \\&= -i \Theta(t-t^\prime) \langle 0 | e^{i H_0 t} \hat{C}_\lambda e^{-i H_0 (t-t^\prime)} e^{-i \varepsilon_0 t^\prime} | \lambda \rangle \\&= -i \Theta(t-t^\prime) \langle 0 | e^{i H_0 t} \hat{C}_\lambda e^{-i \varepsilon_\lambda (t-t^\prime)} e^{-i \varepsilon_0 t^\prime} | \lambda \rangle \\&= -i \Theta(t-t^\prime) \langle 0 | e^{i H_0 t} e^{-i \varepsilon_\lambda (t-t^\prime)} e^{-i \varepsilon_0 t^\prime} | 0 \rangle \\&= -i \Theta(t-t^\prime) \langle 0 | e^{i \varepsilon_0 t} e^{-i \varepsilon_\lambda (t-t^\prime)} e^{-i \varepsilon_0 t^\prime} | 0 \rangle \\&= -i \Theta(t-t^\prime) e^{-i (\varepsilon_\lambda-\varepsilon_0) (t-t^\prime)} \tag{8}

フーリエ変換を下で定義します.

G(\lambda, E) = \int_{-\infty}^\infty dt e^{iEt} G(\lambda, t)\tag{9}

すると, G^{(0)} は簡潔にかけます.( \varepsilon_0 = 0 とします.) 積分を収束させるため, E 複素平面上の積分路をずらす効果のある収束因子 - \delta を導入します. すると,

G^{(0)}(\lambda, E) &= \int_{-\infty}^\infty dt e^{iEt} e^{- \delta t} G^{(0)}(\lambda, t) \\&= -i \int_{-\infty}^\infty dt e^{i(E+i \delta)t} ( \Theta(t) e^{-i \varepsilon_\lambda t} ) \\&= -i \int_{0}^\infty dt e^{ i (E - \varepsilon_\lambda + i \delta) t } \\&= \dfrac{1}{E - \varepsilon_\lambda + i \delta}\tag{10}

電子の自由なグリーン関数(金属中等,縮退した電子ガス中)

絶対零度なので,この場合,基底状態はフェルミ縮退を起こした電子ガスとなり, 電子を多数含みます. 生成消滅演算子は C^\dagger C は粒子数演算子だったことを思い出しましょう. 絶対零度では,これは運動量の空間で,階段関数になります. フェルミ運動量を p_F とすれば,つまり,

_0 \langle | C^\dagger_{\bm{k}} C_{\bm{k}} |  \rangle_0 &= \Theta(p_F - k) \\_0 \langle | C_{\bm{k}} C^\dagger_{\bm{k}} |  \rangle_0 &= \Theta(k - p_F)\tag{11}

となります.

また,エネルギーで考えると,自由なグリーン関数は,式 (8) の様に考えれば, 化学ポテンシャル(フェルミエネルギー)を \mu として \xi_{\bm{k}} = \varepsilon_{\bm{k}} - \mu として,

G^{(0)}(\lambda,t-t^\prime) &= -i \Theta(t-t^\prime) \ _0 \langle | C_{\bm{k}}(t) C^\dagger_{\bm{k}}(t^\prime)| \rangle_0 +i \Theta(t^\prime-t) \ _0 \langle |C^\dagger_{\bm{k}}(t^\prime) C_{\bm{k}}(t)| \rangle_0 \\&= -i [\Theta(t-t^\prime) \Theta(\xi_{\bm{k}}) - \Theta(t^\prime-t) \Theta(-\xi_{\bm{k}})] e^{-i \xi_k (t-t^\prime)}\tag{12}

少し余談をすると,一般的な有限温度での場合も容易に書けて, フェルミ分布関数を

n_F(\xi_{\bm{k}}) = \dfrac{1}{e^{\beta \xi_k}+1}\tag{13}

とすれば式 (11) は,フェルミオンの反交換関係 C C^\dagger + C^\dagger C  = 1 より,

_0 \langle | C^\dagger_{\bm{k}} C_{\bm{k}} |  \rangle_0 &= n_F(\xi_{\bm{k}}) \\_0 \langle | C_{\bm{k}} C^\dagger_{\bm{k}} |  \rangle_0 &= 1 - n_F(\xi_{\bm{k}}) = n_F(-\xi_{\bm{k}})\tag{14}

となります. 下段の最後の等式は式 (13) を見れば,納得できるものと思います.

G^{(0)}(\lambda,t-t^\prime) &= -i \Theta(t-t^\prime) \ _0 \langle | C_{\bm{k}}(t) C^\dagger_{\bm{k}}(t^\prime)| \rangle_0 +i \Theta(t^\prime-t) \ _0 \langle |C^\dagger_{\bm{k}}(t^\prime) C_{\bm{k}}(t)| \rangle_0 \\&= -i \Theta(t-t^\prime) \ _0 \langle | C_{\bm{k}} C^\dagger_{\bm{k}}| \rangle_0 e^{-i \xi_k (t-t^\prime)} +i \Theta(t^\prime-t) \ _0 \langle | 1-C_{\bm{k}} C^\dagger_{\bm{k}} | \rangle_0 e^{-i \xi_k (t-t^\prime)} \\&= -i [\Theta(t-t^\prime) n_F(-\xi_{\bm{k}}) - \Theta(t^\prime-t) (1-(1-n_F(\xi_{\bm{k}})))] e^{-i \xi_k (t-t^\prime)} \\&= -i [\Theta(t-t^\prime) n_F(-\xi_{\bm{k}}) - \Theta(t^\prime-t) n_F(\xi_{\bm{k}})] e^{-i \xi_k (t-t^\prime)}\tag{15}

となります.

話を戻して,自由な電子グリーン関数のフーリエ変換は,

G^{(0)}(\bm{k},E) &= -i \left[ \Theta(\xi_{\bm{k}}) \int_0^{\infty} dt e^{i(E -\xi_k +i \delta )}- \Theta(-\xi_{\bm{k}}) \int_{-\infty}^0 dt e^{i(E -\xi_k -i \delta )}\right] \\&= \dfrac{\Theta(\xi_{\bm{k}})}{E -\xi_k +i \delta} + \dfrac{\Theta(-\xi_{\bm{k}})}{E -\xi_k -i \delta}\tag{16}

これは,符号付き収束因子 \delta_{\bm{k}} = \delta \rm{sgn}(\xi_{\bm{k}}) を使って,

G^{(0)}(\bm{k},E) &= \dfrac{1}{E -\xi_k +i \delta_{\bm{k}}}\tag{17}

とも書けます.つまり, \delta_{\bm{k}} は化学ポテンシャル(フェルミエネルギー)から測ったエネルギーの正負で符号を変える微小因子です.

フォノンの自由なグリーン関数

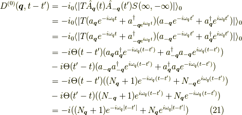
最後にフォノンの自由なグリーン関数 D^{(0)}(\bm{q},\lambda,t-t^\prime) です. 定義は,フォノンの消滅演算子を a_{\bm{q}\lambda} として,

D^{(0)}(\bm{q},\lambda,t-t^\prime)&= -i \langle |T A_{\bm{q}\lambda}(t) A_{\bm{-q}\lambda}(t^\prime)| \rangle \\A_{\bm{q}\lambda}(t) &= e^{i H_0 t} A_{\bm{q}\lambda} e^{-i H_0 t} \\A_{\bm{q}\lambda} &= a_{\bm{q}\lambda} + a^\dagger_{-\bm{q}\lambda}\tag{18}

です. \lambda は非等方媒質等で必要になるフォノンの偏極状態を表します. 参考文献によると,大抵の場合はフォノン偏極を混ぜない一種類のハミルトニアンを扱う限り考えなくてよい,とあります.(3rd Edition p.75)

さあ,相互作用表示では,フォノンの摂動入りグリーン関数は,

D(\bm{q},t-t^\prime) = -i \dfrac{_0 \langle | T \hat{A}_{\bm{q}}(t) \hat{A}_{-\bm{q}}(t^\prime) S(\infty,-\infty) | \rangle_0}{_0 \langle |T  S(\infty,-\infty) | \rangle_0} \tag{19}

となります.これも自由な場合( V=0 )のフーリエ変換を求めようと思います.フォノンのエネルギー を \omega_{\bm{q}} \ \ ( = \omega_{- \bm{q}}) として, 有限温度において,フォノンの粒子数について

&\langle | a_{\bm{q}} a^\dagger_{\bm{q}} | \rangle = N_{\bm{q}}+1 \\&\langle | a^\dagger_{\bm{q}} a_{\bm{q}} | \rangle = N_{\bm{q}} = \dfrac{1}{e^{\beta \omega_q}-1} \\&\langle | a_{\bm{q}} a_{-\bm{q}} | \rangle = 0 \\&\langle | a^\dagger_{\bm{q}} a^\dagger_{-\bm{q}} | \rangle = 0 \tag{20}

を使うと,上の式から N_{\bm{q}} = \dfrac{1}{e^{\beta \omega_q}-1} = N_{-\bm{q}} より,

D^{(0)}(\bm{q},t-t^\prime)&= -i _0 \langle | T \hat{A}_{\bm{q}}(t) \hat{A}_{-\bm{q}}(t^\prime) S(\infty,-\infty) | \rangle_0 \\&= -i _0 \langle | T (a_{\bm{q}}e^{-i \omega_q t} + a^\dagger_{-\bm{q} e^{i \omega_q t}})(a_{-\bm{q}}e^{-i \omega_q t^\prime} + a^\dagger_{\bm{q}} e^{i \omega_q t^\prime}) | \rangle_0 \\&= -i _0 \langle | T (a_{\bm{q}}e^{-i \omega_q t} + a^\dagger_{-\bm{q} e^{i \omega_q t}})(a_{-\bm{q}}e^{-i \omega_q t^\prime} + a^\dagger_{\bm{q}} e^{i \omega_q t^\prime}) | \rangle_0 \\&= -i \Theta(t-t^\prime) (a_{\bm{q}}a^\dagger_{\bm{q}} e^{-i \omega_q (t-t^\prime)}+a^\dagger_{-\bm{q}}a_{-\bm{q}} e^{i \omega_q (t-t^\prime)}) \\&- i \Theta(t^\prime-t) (a_{-\bm{q}}a^\dagger_{-\bm{q}} e^{i \omega_q (t-t^\prime)}+a^\dagger_{\bm{q}}a_{\bm{q}} e^{-i \omega_q (t-t^\prime)}) \\&=-i \Theta(t-t^\prime) ((N_{\bm{q}}+1) e^{-i \omega_q (t-t^\prime)} + N_{-\bm{q}} e^{i \omega_q (t-t^\prime)}) \\&- i \Theta(t^\prime-t) ((N_{-\bm{q}}+1) e^{i \omega_q (t-t^\prime)} + N_{\bm{q}} e^{-i \omega_q (t-t^\prime)}) \\&=-i ((N_{\bm{q}}+1) e^{-i \omega_q |t-t^\prime|} + N_{\bm{q}} e^{i \omega_q |t-t^\prime|})\tag{21}

となります.絶対零度では,

&\langle | a_{\bm{q}} a^\dagger_{\bm{q}} | \rangle = 1 \\&\langle | a^\dagger_{\bm{q}} a_{\bm{q}} | \rangle = 0 \\&\langle | a_{\bm{q}} a_{-\bm{q}} | \rangle = 0 \\&\langle | a^\dagger_{\bm{q}} a^\dagger_{-\bm{q}} | \rangle = 0 \tag{22}

を使って,

D^{(0)}(\bm{q},t-t^\prime) = -i e^{-i \omega_q |t-t^\prime|}\tag{23}

をフーリエ変換して,

D^{(0)}(\bm{q},\omega) &= \int_{-\infty}^\infty dt e^{i \omega t} D^{(0)}(\bm{q},t) \\&= -i \int_{-\infty}^\infty dt e^{i \omega t - \delta |t|} e^{-i \omega_q |t|} \\&= - i \int_0^\infty dt e^{i (\omega - \omega_{\bm{q}} +i \delta)} \\&-   i \int_{-\infty}^0 dt e^{i (\omega + \omega_{\bm{q}} -i \delta)} \\&= \dfrac{1}{\omega - \omega_{\bm{q}} +i \delta} - \dfrac{1}{\omega + \omega_{\bm{q}} -i \delta} \\&= \dfrac{2 \omega_{\bm{q}}}{\omega^2 - \omega_{\bm{q}}^2 + i \delta}\tag{24}

となります.次の記事では,ここで求めた基本的な自由なグリーン関数で相互作用のあるグリーン関数を表現します.

今日はここまで,お疲れ様でした.

次の記事は ウィックの定理 です.